Temas disponibles:
Análisis Dimensional
A continuación se muestran algunos ejercicios de análisis dimensional en diferentes niveles de dificultad. Si desea revisar la teoría de análisis dimensional, puede hacer clic en el siguiente botón para acceder a ella.
Ejercicios de análisis dimensional.
1) En la ecuación y=\frac{x^{2}\left ( x-a \right )}{f\cos(\alpha)} ‘a’ es una aceleración y ‘f’ es una frecuencia. La dimensión de ‘y’ es:
Ejercicio 1:
En la ecuación y=\frac{x^{2}\left ( x-a \right )}{fcos(\alpha)} ‘a’ es una aceleración y ‘f’ es una frecuencia. La dimensión de ‘y’ es:
Ejercicio 1:
En la ecuación y=\frac{x^{2}\left ( x-a \right )}{fcos(\alpha)} ‘a’ es una aceleración y ‘f’ es una frecuencia. La dimensión de ‘y’ es:
donde: F=fuerza, q= carga eléctrica y v=velocidad.
Ejercicio 2:
Hallar la fórmula dimensional de inducción magnética ‘B’
F=q\cdot v\cdot B,
donde: F: fuerza, q: carga eléctrica y v: velocidad.
Ejercicio 2:
3) Conociendo la siguiente relación
\phi= \left ( \frac{Rt^{-\frac{1}{16}}}{d} \right )^{x^{x^{x}}}
donde: R= radio, t= tiempo, d= distancia. Calcular las dimensiones de \phi, si: 2^{3x+1}=128.
Ejercicio 3:
Ejercicio 1:
Conociendo la siguiente relación
\phi= \left ( \frac{Rt^{-\frac{1}{16}}}{d} \right )^{x^{x^{x}}}
donde: R= radio, t= tiempo, d= distancia. Calcular las dimensiones de \phi, si 2^{3x+1}=128

4) Dada la expresión correcta, calcular [x]:
w=2\pi\cdot\sqrt{\frac{axt^{2}}{6M}}
donde: w=velocidad, a=aceleración, t=tiempo y M=masa.
Ejercicio 4:
Dada la expresión correcta, calcular [x]:
w=2\pi\cdot\sqrt{\frac{axt^{2}}{6M}}
donde: w=velocidad, a=aceleración, t=tiempo y M=masa.
Ejercicio 1:
Dada la expresión correcta, calcular [x]:
w=2\pi\cdot\sqrt{\frac{axt^{2}}{6M}}
donde: w=velocidad, a=aceleración, t=tiempo y M=masa.

5) En la expresión:
\tan(A+\frac{\pi \alpha }{2})=\frac{e^{mBL^{\sin(30^{\circ})}}\pm C(F^{\tan^{2}(60^{\circ})})^{\cos(60^{\circ})}}{10^{n-1}}
hallar las dimensiones de A , B y C para que sea dimensionalmente homogénea, donde: \alpha = ángulo en radianes, L= longitud, F= Fuerza, e= base de los logaritmos neperianos, m y n= números.
Ejercicio 5:
En la expresión:
\LARGE{\tan(A+\frac{\pi \alpha }{2})=\frac{e^{mBL^{\sin(30^{\circ})}}\pm C(F^{\tan^{2}(60^{\circ})})^{\cos(60^{\circ})}}{10^{n-1}}}
hallar las dimensiones de A , B y C para que sea dimensionalmente homogénea,
donde: \alpha = ángulo en radianes, L= longitud, F= Fuerza, e= base de los logaritmos neperianos, m y n= números.
Ejercicio 2:
En la expresión:
\LARGE{\tan(A+\frac{\pi \alpha }{2})=\frac{e^{mBL^{\sin(30^{\circ})}}\pm C(F^{\tan^{2}(60^{\circ})})^{\cos(60^{\circ})}}{10^{n-1}}}
hallar las dimensiones de A , B y C para que sea dimensionalmente homogénea,
donde: \alpha = ángulo en radianes, L= longitud, F= Fuerza, e= base de los logaritmos neperianos, m y n=

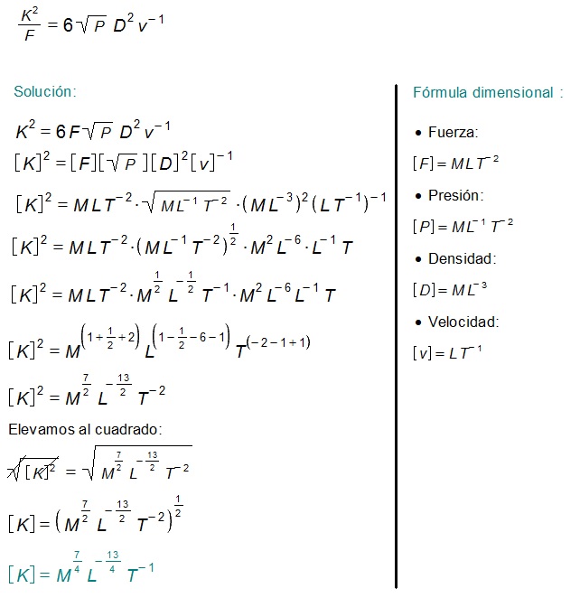
6) Hallar la ecuación dimensional de K , si:
\frac{K^{2}}{F}=6\cdot \sqrt{P}D^{2}v^{-1}
Donde: F= Fuerza, P= Presión, D= Densidad y v= Velocidad.
Ejercicio 6:
Hallar la ecuación dimensional de K , si:
\frac{K^{2}}{F}=6\cdot \sqrt{P}D^{2}v^{-1}
Donde: F= Fuerza, P= Presión, D= Densidad y v= Velocidad.
Ejercicio 1:
Hallar la ecuación dimensional de K , si:
\frac{K^{2}}{F}=6\cdot \sqrt{P}D^{2}v^{-1}
Donde: F= Fuerza, P= Presión, D= Densidad y v= Velocidad.

7) Hallar las dimensiones de X , si la ecuación es dimensionalmente correcta. W es trabajo.
X^{(\tan(53^{\circ}))}-Y^{\sqrt{\pi RW}}=\sqrt[3]{R}.
Ejercicio 7:
Hallar las dimensiones de X , si la ecuación es dimensionalmente correcta. W es trabajo.
X^{(\tan(53^{\circ}))}-Y^{\sqrt{\pi RW}}=\sqrt[3]{R}.
Ejercicio 1:
Hallar las dimensiones de X , si la ecuación es dimensionalmente correcta. W es trabajo.

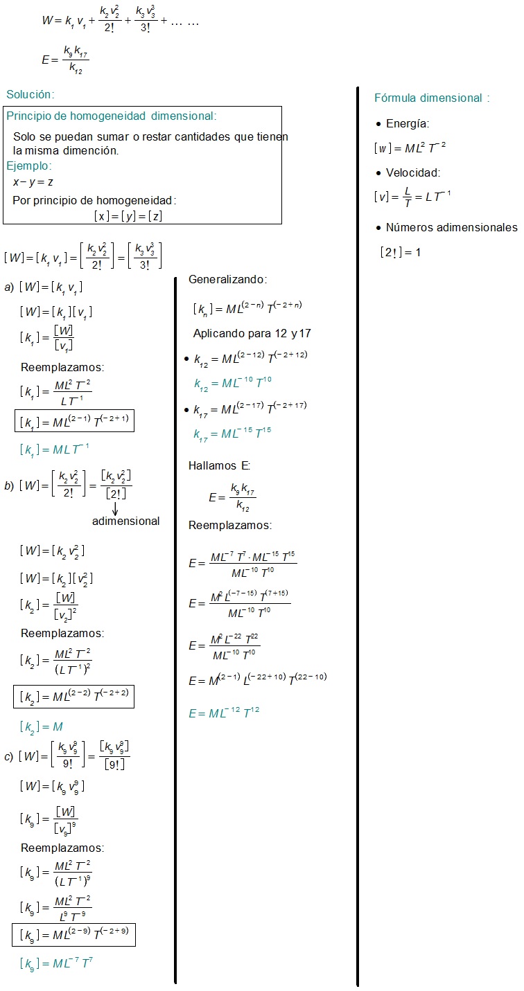
8) Si la siguiente expresión contiene n términos y es dimensionalmente correcta
W=k_{1}v_{1}+\frac{k_{2}v^{2}_{2}}{2!}+\frac{k_{3}v^{3}_{3}}{3!}+….
Siendo: W= energía, v_{i}= velocidad, n!= factorial de n, k_{i}= constante física. Determinar la fórmula dimensional de E, si E=\frac{k_{9}k_{17}}{k_{12}}.
Ejercicio 8:
Si la siguiente expresión contiene n términos y es dimensionalmente correcta
\Large {W=k_{1}v_{1}+\frac{k_{2}v^{2}_{2}}{2!}+\frac{k_{3}v^{3}_{3}}{3!}+….}
Siendo: W= energía, v_{i}= velocidad, n!= factorial de n, k_{i}= constante física. Determinar la fórmula dimensional de E, si \Large{E=\frac{k_{9}k_{17}}{k_{12}}}.
Ejercicio 2:
Si la siguiente expresión contiene n términos y es dimensionalmente correcta
\Large {W=k_{1}v_{1}+\frac{k_{2}v^{2}_{2}}{2!}+\frac{k_{3}v^{3}_{3}}{3!}+….}
Siendo: W= energía, v_{i}= velocidad, n!= factorial de n, k_{i}= constante física. Determinar la fórmula dimensional de E, si \Large{E=\frac{k_{9}k_{17}}{k_{12}}}.

9) Sabiendo que la siguiente expresión:
\sqrt[n]{\frac{E_{1}+E_{2}+……+E_{n}}{A^{n}+B^{n+1}+C^{n+2}+V}}
Tiene como unidades segundo. Determinar las unidades que puede tener \sqrt[\frac{7n}{12}]{\frac{AB}{C}} Siendo: E_{i}= energia / i=1,2,3,4,…,n; V= potencia.
Ejercicio 9:
Sabiendo que la siguiente expresión:
\Large{\sqrt[n]{\frac{E_{1}+E_{2}+……+E_{n}}{A^{n}+B^{n+1}+C^{n+2}+V}}}
Tiene como unidades segundo. Determinar las unidades que puede tener \LARGE{\sqrt[7n/12]{\frac{AB}{C}}} Siendo: E_{i}= energia / i=1,2,3,4,…,n; V= potencia.
Ejercicio 1:
Sabiendo que la siguiente expresión:
\Large{\sqrt[n]{\frac{E_{1}+E_{2}+……+E_{n}}{A^{n}+B^{n+1}+C^{n+2}+V}}}
Tiene como unidades segundo. Determinar las unidades que puede tener \LARGE{\sqrt[7n/12]{\frac{AB}{C}}} Siendo: E_{i}= energia / i=1,2,3,4,…,n; V= potencia.

